10.5. TIETZE EXTENSION THEOREM 269

Proposition 10.5.8 For x,y ∈ Cn,∑ni=1 |xi| |yi| ≤ (∑n

i=1 |xi|p)1/p(

∑ni=1 |yi|p

′)1/p′

.

The proof will depend on the following lemma.

Lemma 10.5.9 If a,b≥ 0 and p′ is defined by 1p +

1p′ = 1, then ab≤ ap

p + bp′

p′ .

Proof of the Proposition: If x or y equals the zero vector there is nothing to prove.

Therefore, assume they are both nonzero. Let A= (∑ni=1 |xi|p)1/p and B=

(∑

ni=1 |yi|p

′)1/p′

.Then using Lemma 10.5.9,

n

∑i=1

|xi|A|yi|B≤

n

∑i=1

[1p

(|xi|A

)p

+1p′

(|yi|B

)p′]

=1p

1Ap

n

∑i=1|xi|p +

1p′

1Bp

n

∑i=1|yi|p

′=

1p+

1p′

= 1

and so ∑ni=1 |xi| |yi| ≤ AB = (∑n

i=1 |xi|p)1/p(

∑ni=1 |yi|p

′)1/p′

Theorem 10.5.10 The p norms do indeed satisfy the axioms of a norm.

Proof: It is obvious that ||·||p does indeed satisfy most of the norm axioms. The onlyone that is not clear is the triangle inequality. To save notation write ||·|| in place of ||·||p inwhat follows. Note also that p

p′ = p−1. Then using the Holder inequality,

||x+y||p =n

∑i=1|xi + yi|p ≤

n

∑i=1|xi + yi|p−1 |xi|+

n

∑i=1|xi + yi|p−1 |yi|

=n

∑i=1|xi + yi|

pp′ |xi|+

n

∑i=1|xi + yi|

pp′ |yi|

(n

∑i=1|xi + yi|p

)1/p′( n

∑i=1|xi|p

)1/p

+

(n

∑i=1|yi|p

)1/p

= ||x+y||p/p′(||x||p + ||y||p

)so dividing by ||x+y||p/p′ , it follows ||x+y||p ||x+y||−p/p′ = ||x+y|| ≤ ||x||p +||y||p

(p− p

p′ = p(

1− 1p′

)= p 1

p = 1). ■

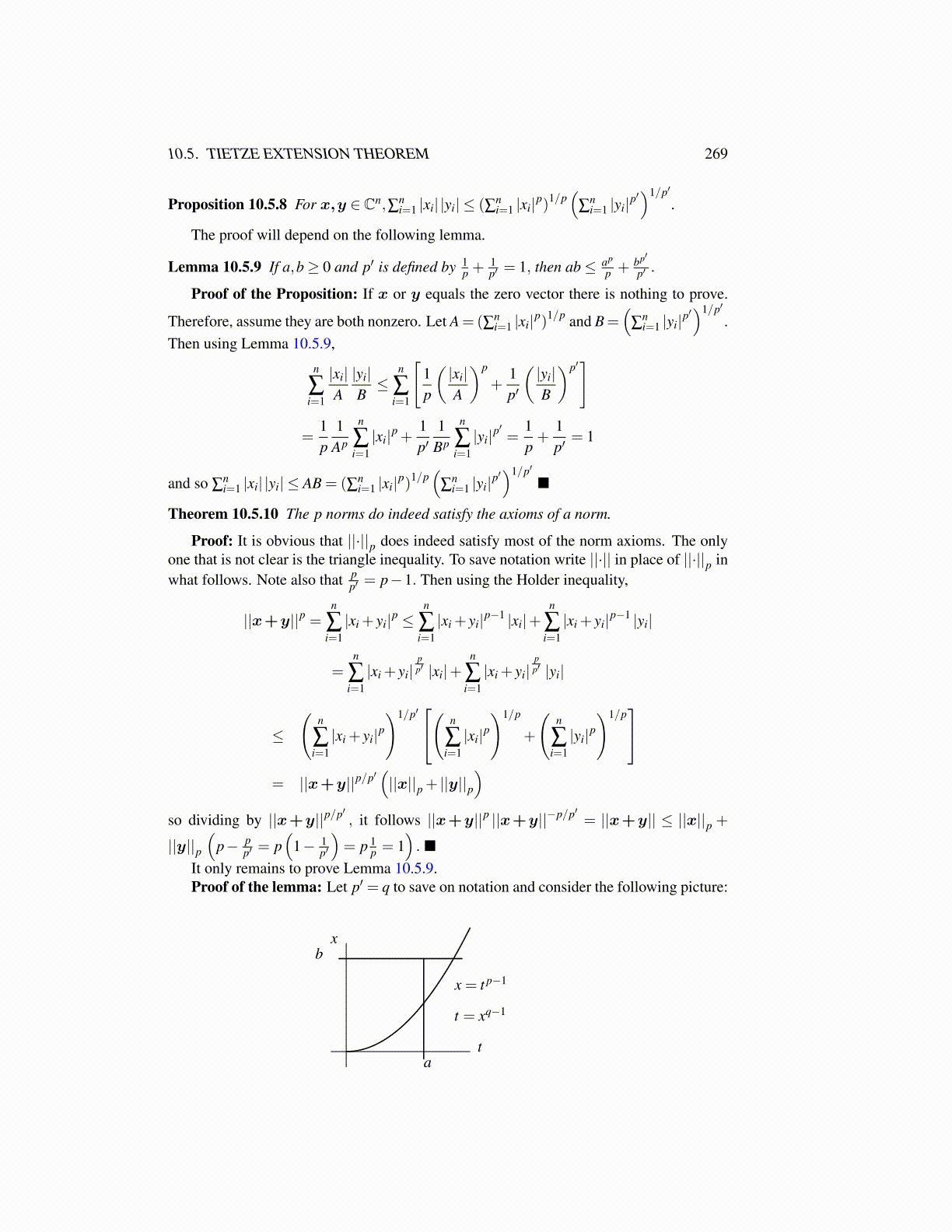
It only remains to prove Lemma 10.5.9.Proof of the lemma: Let p′ = q to save on notation and consider the following picture:

b

a

x

t

x = t p−1

t = xq−1

10.5. TIETZE EXTENSION THEOREM 269Proposition 10.5.8 For x,y € C",E"_, |xil [yi] < (Ly fai?) ( ha \l”’) verThe proof will depend on the following lemma.Lemma 10.5.9 If a,b > 0 and p’ is defined by a+ y = 1, thenab< “ + onProof of the Proposition: If 2 or y equals the zero vector there is nothing to prove.1\ 1/p!Therefore, assume they are both nonzero. Let A = (Y_, |x|? yl P and B= (re Ly; |? ) .Then using Lemma 10.5.9,fe eli ge [2 (Lal)? 1 (bul)!= 4 BU a|P\A P\Blil? + wp Li" = ta!1 / 1/p'and so P# |xil|yi| SAB= (Ei il?) (Ly bil”)|-M:>1pa? iaTheorem 10.5.10 The p norms do indeed satisfy the axioms of a norm.Proof: It is obvious that ||-||,, does indeed satisfy most of the norm axioms. The onlyone that is not clear is the triangle inequality. To save notation write ||-|| in place of ||-||,, inwhat follows. Note also that ra = p—1. Then using the Holder inequality,n n n—l —1la tey||? = xi til? < Vly? e+ YE eit yi? bili=1 i=1 i=ln P n P=P laity? lilt+ Y beet yal?” bili=l i=ln 1/p' n 1/p n 1/p(z bn (x ai) + (x vi)i=] i=l i=l= |letyll?”” (\lerl|, + lel)lAso dividing by |la+yl|?/” , it follows |la+yl|?|lat+yl| ?/” = ||e+yll < ||ell, +livllp (pS =p (1-4) =e =1). 9It only remains to prove Lemma 10.5.9.Proof of the lemma: Let p’ = q to save on notation and consider the following picture: