652 CHAPTER 33. BOUNDARY VALUE PROBLEMS, FOURIER SERIES

33.5.2 Mean Square ConvergenceIt is the case that if f is Riemann integrable and 2L periodic, then the Fourier series con-verges to the function f in the mean square sense. That is

limn→∞

∫ L

−L| f (x)−Sn f (x)|2 dx = 0

I will show this now, leaving out a few details which will be reasonable to believe. Supposethat f is continuous and periodic with period 2L. The Cesaro means of f are defined asfollows.

σn f (x)≡ 1n+1

n

∑k=0

Sk f (x) , S0 f (x) = a0 ≡1

2L

∫ L

−Lf (x)dx

Thus, from what was shown above,

σn f (x) =1

n+1

n

∑k=0

∫ L

−LDk (x− y) f (y)dy

=∫ L

−L

(1

n+1

n

∑k=0

Dk (x− y)

)f (y)dy

Then the Fejer kernel is

Fn (t) =1

n+1

n

∑k=0

Dk (t) (*)

We compute this now. Recall that

Dn (t) =sin((

n+ 12

L t)

2Lsin(

π

2L t)

Thus

sin2(

π

2Lt)

Fn (t) =1

2L1

n+1

n

∑k=0

sin(

π

2Lt)

sin((

k+12

Lt)

=1

2L(n+1)12

n

∑k=0

[cos((

k+12

Lt−(

π

2Lt))− cos

2Lt +(

k+12

Lt)]

=1

2L1

n+112

n

∑k=0

[cos(

π

Lkt)− cos

Lt (k+1)

)]=

14L(n+1)

(1− cos

Lt (n+1)

))Thus

Fn (t) =1

4L(n+1)

(1− cos

L t (n+1)))

sin2 ( π

2L t) (**)

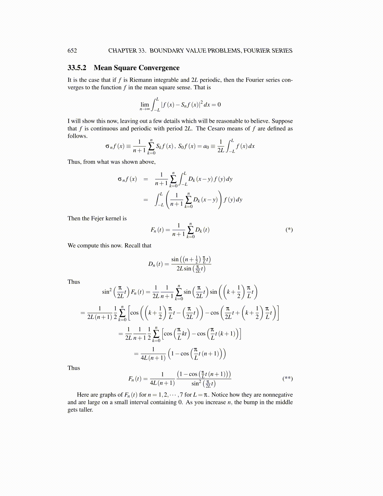
Here are graphs of Fn (t) for n = 1,2, · · · ,7 for L = π . Notice how they are nonnegativeand are large on a small interval containing 0. As you increase n, the bump in the middlegets taller.

652 CHAPTER 33. BOUNDARY VALUE PROBLEMS, FOURIER SERIES33.5.2 Mean Square ConvergenceIt is the case that if f is Riemann integrable and 2L periodic, then the Fourier series con-verges to the function f in the mean square sense. That isLlim | |f (x) ~Snf (x) Pdx =0noo J_pI will show this now, leaving out a few details which will be reasonable to believe. Supposethat f is continuous and periodic with period 2L. The Cesaro means of f are defined asfollows.1n+]n 1 LSub (2) = 7 Uh (0), Sof (0) = a0 = 57 | FadsThus, from what was shown above,1 ftOf) = Fy | Pelx-y)Fo)ayL 1 n= [Ere 9) rorThen the Fejer kernel is1n+1F,(t)=—~ ¥. Dy lt) (*)k=0We compute this now. Recall thatD, (t)= sin ((n+3) u2Lsin (HtOwe Sino seston (Sdn) 8ares a se (3) tt (ae)) (ar (2) 2)stb (Ga) (Gro)~ ace (sof)Thus(**)Here are graphs of F;, (t) forn = 1,2,--- ,7 for L= 2. Notice how they are nonnegativeand are large on a small interval containing 0. As you increase n, the bump in the middlegets taller.