22.1. BASIC THEORY 577

Now let λ = inf{∥x− y∥ : y ∈ K} and let yn be a minimizing sequence. This means{yn} ⊆ K satisfies limn→∞ ∥x− yn∥= λ . By the parallelogram identity,

∥yn− x+ ym− x∥2 +∥yn− ym∥2 = 2(∥yn− x∥2 +∥ym− x∥2

)and so, since ∥yn− x+ ym− x∥2 = 4(∥ yn+ym

2 − x∥2),

∥yn− ym∥2 = 2(∥yn− x∥2 +∥ym− x∥2

)−4(∥yn + ym

2− x∥2)

≤ 2(∥yn− x∥2 +∥ym− x∥2

)−4λ

2

The right side converges as m,n→ 0 to 0. Therefore, {yn}∞

n=1 is a Cauchy sequence. SinceH is complete, yn→ y for some y ∈ H which must be in K because K is closed. Therefore

∥x− y∥= limn→∞∥x− yn∥= λ .

Let Px = y. ■

Corollary 22.1.9 Let K be a closed, convex, nonempty subset of a Hilbert space, H,and let x ∈ H. Then for z ∈ K, z = Px if and only if

Re(x− z,y− z)≤ 0 (22.6)

for all y ∈ K.

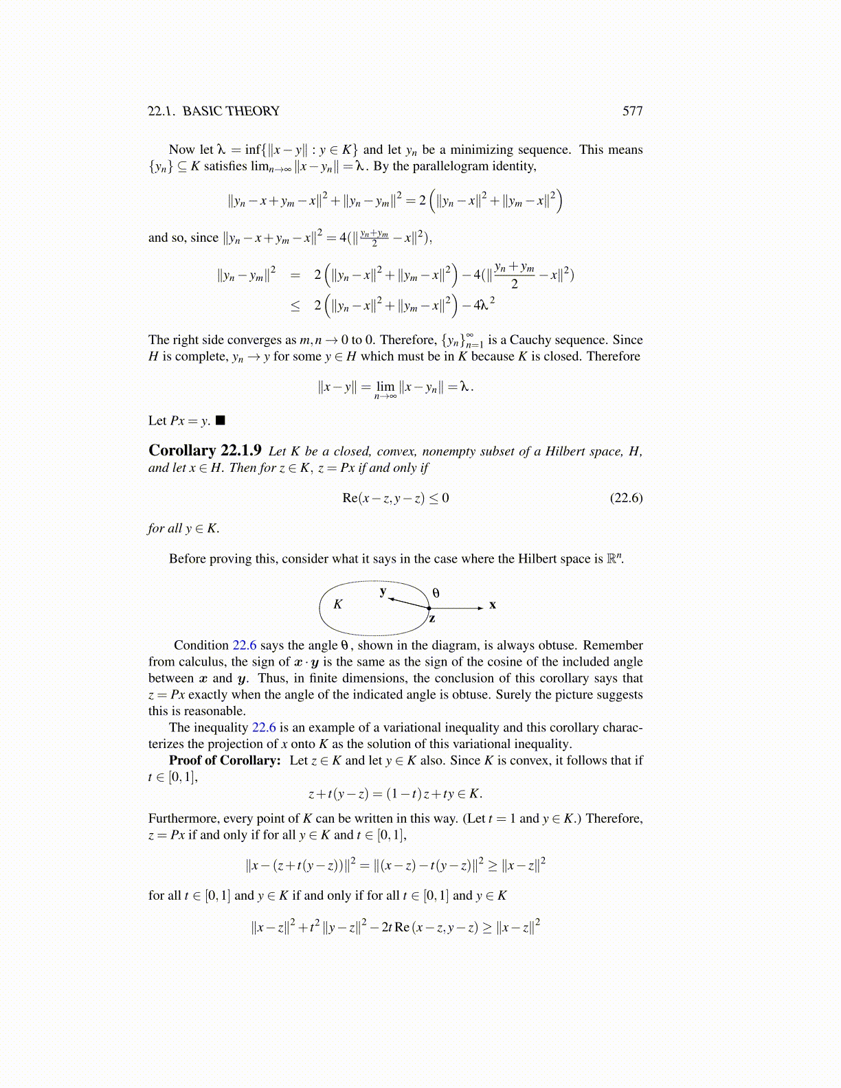
Before proving this, consider what it says in the case where the Hilbert space is Rn.

Ky θ

xz

Condition 22.6 says the angle θ , shown in the diagram, is always obtuse. Rememberfrom calculus, the sign of x ·y is the same as the sign of the cosine of the included anglebetween x and y. Thus, in finite dimensions, the conclusion of this corollary says thatz = Px exactly when the angle of the indicated angle is obtuse. Surely the picture suggeststhis is reasonable.

The inequality 22.6 is an example of a variational inequality and this corollary charac-terizes the projection of x onto K as the solution of this variational inequality.

Proof of Corollary: Let z ∈ K and let y ∈ K also. Since K is convex, it follows that ift ∈ [0,1],

z+ t(y− z) = (1− t)z+ ty ∈ K.

Furthermore, every point of K can be written in this way. (Let t = 1 and y ∈ K.) Therefore,z = Px if and only if for all y ∈ K and t ∈ [0,1],

∥x− (z+ t(y− z))∥2 = ∥(x− z)− t(y− z)∥2 ≥ ∥x− z∥2

for all t ∈ [0,1] and y ∈ K if and only if for all t ∈ [0,1] and y ∈ K

∥x− z∥2 + t2 ∥y− z∥2−2t Re(x− z,y− z)≥ ∥x− z∥2